北京6月3日,工业和信息化部、国家税务总局近日发布第32批《免征车辆购置税的新能源汽车车型目录》。本批次《目录》包括283款车型,其中含乘用车52款(纯电动乘用车49款,插电式混合动力乘用车3款)。
根据《财政部国家税务总局工业和信息化部科技部关于免征新能源汽车车辆购置税的公告》(2017年第172号)、《中华人民共和国工业和信息化部财政部国家税务总局公告》(2018年第17号)的要求,工业和信息化部会同国家税务总局等部门对企业提交的申请进入《免征车辆购置税的新能源汽车车型目录》的材料进行了审查。现将《免征车辆购置税的新能源汽车车型目录》(第三十二批)、《汽车生产企业名称变更名单》予以公告。
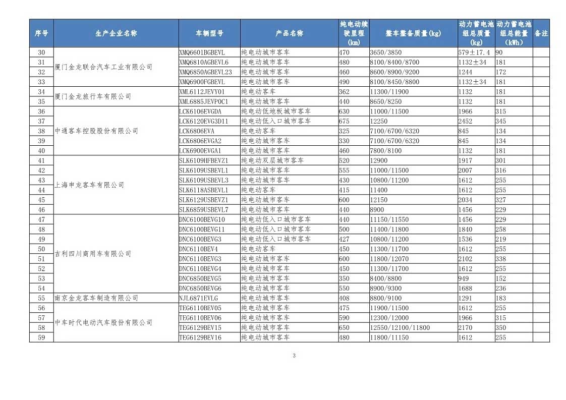
免征车辆购置税的新能源汽车车型目录以及见下图:













内容来源于人民网-汽车频道